Universidade Federal Rural do Rio de Janeiro
Programa de Pós-Graduação de Ciências Sociais em Desenvolvimento, Agricultura e Sociedade
Revista IDeAS, Rio de Janeiro, volume 14, 1-28, e020003, jan./dez. 2020 • ISSN 1984-9834
Artigo original • Revisão por pares • Acesso aberto
Percepção ambiental de consumidores de produtos orgânicos: o caso da feira agroecológica da Associação Cristã de Base (ACB), no município de Crato (CE)
Environmental perception of consumers of organic products: the case of agroecological fair of the Associação Cristã de Base (ACB), in the municipality of Crato (Ceará)
Valéria Feitosa Pinheiro[1], Guilherme Silva Nascimento[2], Christiane Luci Bezerra Alves[3], Anderson da Silva Rodrigues[4], Maria Larissa Bezerra Batista[5]
Resumo O presente estudo tem por intuito pesquisar a percepção ambiental dos consumidores de produtos orgânicos da feira agroecológica assistida pela Associação Cristã de Base (ACB), em Crato (CE). O processo metodológico utilizado diz respeito à análise exploratória-descritiva, a partir de dados coletados por meio de uma pesquisa primária, mediante a aplicação de questionário semiestruturado. Para tanto, é calculado um Índice de Avaliação de Percepção Ambiental (Iapa), constituído por três dimensões: Percepção Geral e Costumes Sociais Relativos ao Ambiente (PGCSRA); Percepção Relativa ao Consumo Habitual (PRCH); Percepção Relativa ao Consumo de Alimentos Orgânicos (PRCAO). O resultado geral do Iapa aponta que os consumidores têm alto nível de percepção ambiental quanto ao consumo de produtos orgânicos. Portanto, conclui-se que o grau de instrução educacional, o convívio social e a preocupação com as gerações futuras, apresentados por estes consumidores, foram fatores de extrema importância para os números elevados obtidos no índice. Palavras-chave: Percepção Ambiental, Agricultura familiar, Agroecologia, Feira agroecológica, Consumo de orgânicos. Abstract The current study presents a research about the environmental perception of organic food consumers from an agro-ecological fair supported by Associação Cristã de Base (ACB) in Crato’s city, southern Ceará state, northeastern Brazil. The methodological approach adopted regards to an analysis exploratory-descriptive based on data collected through primary research, through the application of a semi-structured questionnaire. For this reason, an Environmental Perception Assessment Index (IAPA) was calculated and structured by three dimensions: General Perception and Environment Relative Social Customs (PGCSRA); Perception of Habitual Consumption (PRCH); Perception Relating to Organic Food Consumption (PRCAO). Thus, Iapa’s general results indicates a high level of environmental perception related to the organic product’s consumption. Therefore, it can be concluded that the level of educational instruction, social interaction and the concern for future generations presented by these consumers are extremely important factors for the high values obtained in the index. Keywords: Environmental Perception. Family farming. Agroecology. Agroecological fair. Organic consumption. | Submissão: Aceite: |
Citação sugerida PINHEIRO, Valéria Feitosa; NASCIMENTO, Guilherme Silva; ALVES, Christiane Luci Bezerra; RODRIGUES, Anderson da Silva; BATISTA, Maria Larissa Bezerra. Percepção ambiental de consumidores de produtos orgânicos: o caso da feira agroecológica da Associação Cristã de Base (ACB), no município de Crato (CE). Revista IDeAS, Rio de Janeiro, v. 14, p. 1-28, e020003, jan./dez. 2020. Licença: Creative Commons - Atribuição/Attribution 4.0 International (CC BY 4.0). |
Introdução
Nas últimas décadas do século XX, um conjunto de transformações nos espaços rurais foi sentido em meio à consolidação dos complexos agroindustriais (CAI), através de profundas alterações na base técnica e nas relações sociais de produção, ocorrendo, no Brasil, a chamada “modernização conservadora”[6]. Nesse processo, constata-se a utilização, em larga escala, da mecanização, além da incorporação de inovações biológicas, diversificação de culturas agrícolas que promovem sensíveis ganhos de produtividade da cadeia agroindustrial. Todavia, impõe severos ajustes no mercado de trabalho, a partir de significativa ampliação do desemprego agrícola, e seus efeitos são extensivos a um crescente passivo ambiental, reflexo do processo intensivo e mecanizado que não respeita as limitações do solo e do meio ambiente.
Nesse sentido, a agricultura familiar desempenha papel indeclinável como alternativa para uma produção agrícola sustentável (VEIGA, 1996). Em meio à coexistência da pequena produção rural e dos CAI, não somente no Brasil, mas em todo o mundo, amplificam-se as preocupações com o manejo, a conservação e a recuperação dos recursos naturais. Os impactos causados à natureza e o aumento da degradação do meio ambiente evidenciam a necessidade de sua preservação e recuperação, adotando práticas racionais sustentáveis de produção (BALSAN, 2006; LOPES; CONTINI, 2012; SAMBUICHI et al., 2012).
É no bojo de tal conjuntura que a agroecologia se afirma, para além da técnica, como ciência, trazendo consigo um embasamento teórico de diferentes movimentos de agricultura alternativa, que ganham cada vez mais força com o padrão predatório provocado pela agricultura moderna, baseando-se no princípio de conservação e sustentabilidade dos recursos naturais, por meio de técnicas produtivas consideradas menos agressivas. A agroecologia, por conseguinte, procura utilizar recursos disponíveis mais avançados, associando o conhecimento do produtor ao conhecimento científico para criar agroecossistemas sustentáveis de alta produtividade, utilizando técnicas que mantenham o ecossistema mais próximo possível do natural, proporcionando o primeiro contato do meio rural com a sustentabilidade (ASSIS; ROMEIRO, 2002).
Diante do fortalecimento da agroecologia, destaca-se a multiplicação dos chamados circuitos curtos de comercialização e consumo (CCC), lócus de troca entre produção e consumo, corroborado por atitudes ambientais sólidas de todos os envolvidos, numa nova lógica em que o seu desenvolvimento não priorize a busca racional do lucro, mas, sobretudo, entendendo as relações de produção e distribuição a partir de outra ética. Esse circuito é muito mais construído e sustentado por relações interpessoais entre agricultores e consumidores (RAUD-MATTEDI, 2005; SILVA, 2016). Constitui-se, portanto, importante expressão dos CCC, as feiras de produtos agroecológicos, enquadrando-se tanto através do aspecto de proximidade dos produtores e consumidores quanto da proximidade geográfica entre ambos.
A literatura acadêmica tem registrado o crescente interesse de pesquisadores de diferentes campos do conhecimento acerca do conjunto de expressões que acompanha a disseminação de práticas agroecológicas, seja por meio do vetor produção, seja mediante o vetor consumo (NODARI; GUERRA, 2015; SAMBUICHI et al., 2017; ZANELLA, 2017; ALVES et al., 2018; CARNEIRO, 2019). Nesse sentido, é especialmente relevante estudar percepção e prática ambiental, considerando que estas podem oferecer indicativo de mudanças estruturais na sociedade, em que o indivíduo realiza escolhas a partir dos seus valores mais profundos e, portanto, com possibilidade de serem mais frequentes e permanentes.
Vale ressaltar que a percepção ambiental se constitui campo teórico em uma conjuntura em que se procedem a releitura e interpretação de paradigmas dominantes sobre o desenvolvimento. Na maioria das novas contribuições reconhece-se a chave e a força dos elementos ambientais na sua promoção. Nessa perspectiva, “o paradigma ambiental está surgindo cada vez mais como uma mudança de enfoques, abordagens, concepções teóricas e metodológicas não somente de pesquisa, mas também no planejamento e gestão” (RODRIGUEZ; SILVA, 2013, p. 70). Assim, as relações que envolvem os sistemas produtivos, de consumo e suas conexões ambientais, como suporte para mecanismos de sustentabilidade e desenvolvimento têm crescentemente feito parte do campo de pesquisas acadêmicas, já que estão no centro de projetos e políticas de desenvolvimento.
De modo particular, os primeiros estudos explorando abordagens e perspectivas sobre os conceitos de qualidade ambiental e qualidade de vida tiveram seu marco na década de 1970, mais precisamente em 1973, quando a Organização das Nações Unidas para a Educação, a Ciência e a Cultura (Unesco) publicou, em Paris, o Painel de Especialistas sobre o Projeto 13: percepção da qualidade ambiental/relatório final da série de relatórios do Programa sobre o Homem e a Biosfera (MAB). Este relatório analisava a relevância dos estudos sobre percepção ambiental e do próprio conceito; as proposições de diretrizes metodológicas e abordagens; e estudos dirigidos e abordagens específicas, como os riscos ambientais, áreas ecológicas periféricas, parques nacionais, dentre outros (GUIMARÃES, 2005).
Com base no exposto, o objeto de estudo escolhido refere-se aos consumidores de produtos orgânicos da feira agroecológica assistida pela Associação Cristã de Base (ACB), Organização Não Governamental (ONG) do município de Crato – Ceará, que contribui auxiliando os agricultores a melhorarem sua produção, mantendo uma melhor relação de convivência com o semiárido por meio de técnicas e tecnologias sustentáveis que menos impactem no ambiente. O objetivo principal consiste em pesquisar a percepção ambiental destes consumidores, através de metodologia exploratório-descritiva, com observação participativa e aplicação de questionário aos consumidores que frequentam a feira da ACB. Propõe-se, para isso, a composição de um Índice de Avaliação de Percepção Ambiental (Iapa), constituído por três dimensões: I) Percepção Geral e Costumes Sociais (individuais e comunitários) Relativos ao Ambiente (PGCSRA); II) Percepção Relativa ao Consumo Habitual (PRCH); III) Percepção Relativa ao Consumo de Alimentos Orgânicos (PRCAO).
2 Breves registros sobre agroecologia
A agroecologia origina-se como ciência portadora de conceitos, métodos e princípios, que criam mecanismos capazes de estabelecer o diálogo entre o saber popular e o científico como condição para reconstruir novos agroecossistemas de forma ecológica, por meio de uma agricultura mais sustentável (GLIESSMAN, 1990; EMBRAPA, 2006). Ainda que os primeiros estudos desenvolvidos nessa área tenham surgido já no início do século XX, entre 1920 e 1930, foi na década de 1980 que sua base conceitual e metodológica começou a ser difundida, tendo como seus principais divulgadores os americanos Miguel Altieri e Stephen Gliessman (MOREIRA; CARMO, 2004). Efetivada com princípios de valorizar a diversidade cultural e biológica, a prática agroecológica procura resgatar a cultura produtiva de base e o conhecimento clássico dos produtores rurais quanto a métodos de produção sustentáveis (EMBRAPA, 2006).
Segundo Altieri (2004, p. 12), a agroecologia foi difundida “como sendo um padrão técnico agronômico capaz de orientar as diferentes estratégias de desenvolvimento rural sustentável, avaliando as potencialidades dos sistemas agrícolas através de uma perspectiva social, econômica e ecológica”. Sustentando desse modo o enfoque ecológico de manutenção da atividade agrícola com o mínimo de impactos ambientais possíveis.
A agricultura orgânica parte de um pressuposto no qual o processo de fertilidade se dá necessariamente pela quantidade de matéria orgânica existente no solo, com o acréscimo de elementos naturais para melhorar o desenvolvimento produtivo. Durante seu período de evolução, o sistema orgânico de produção vem englobando diversos conceitos, mais conhecidos como: ecológico, natural, sustentável, regenerativo, biológico, agroecológico e permacultura. Todos esses processos orgânicos de produção exploram o meio agrícola de forma ecologicamente adequada (ORMOND et al., 2002).
Para Ricardio (2011), a agroecologia é uma das alternativas capazes de combater a degradação ambiental e a pobreza decorrentes da distribuição de renda, e ser posta sobre a agricultura familiar como forma de reverter as barreiras socioprodutivas, produzindo ao lado da pluriatividade um modelo exemplar eficiente de produção. Assim, a agroecologia está ligada ao reconhecimento do saber produtivo tradicional do agricultor e à conservação ambiental, mas também é um mecanismo de combate à pobreza rural e às vulnerabilidades no espaço rural.
3 Elementos para compreender a percepção ambiental
Os problemas ambientais podem ser deduzidos e interpretados de múltiplas maneiras, a depender das percepções que os indivíduos têm de determinada realidade, construídas a partir de um conjunto de sensações individuais e coletivas. Portanto, agentes externos, como Poder Público, ONGs, sociedade civil organizada se apresentam como importantes agentes, potenciais indutores de transformações, na medida em que são capazes de promover ações efetivas na promoção de uma consciência ambiental e de práticas transformadoras.
O termo percepção é designado a partir de diferentes significados, a depender da apreensão pelas diferentes áreas de conhecimento. Derivado do latim perceptio.onis, “compreensão”, pode ser definido como: ação ou efeito de perceber, de compreender o sentido de algo por meio de sensações ou da inteligência; combinação dos sentimentos no reconhecimento de um objeto, receptividade de um estímulo; sentidos; sensação; intuição; ideia; imagem; representação intelectual (MARIN, 2008).
No entendimento de Tuan (1980), a percepção individual ocorre a partir da interação do indivíduo com o meio, através dos órgãos dos sentidos relacionados às atividades cerebrais, que por sua vez materializam as sensações, sendo a visão o sentido mais aguçado e mais evoluído entre os animais. Entretanto, a atitude, que seria a resposta a essa percepção, não depende somente dos órgãos do sentido, mas do interesse do ser humano no que deseja obter, necessitando de experiência e de firmeza de interesse e valor.
Assim, para que ocorra a percepção é necessário que se tenha interesse no objeto, o que acontece baseado no nível de conhecimento, na cultura, nos valores, nas experiências individuais, na ética e na postura de cada indivíduo, sendo cada percepção diferenciada para o mesmo objeto (BRANDALISE et al., 2009; MELAZO, 2005; PALMAS, 2005).
Para Krzysczak (2016), essas percepções diferentes para cada ser humano são interpretações individuais e não podem ser consideradas incorretas ou inadequadas, resultam de uma série de questões que envolvem o espaço e o tempo vivido. O ambiente vivenciado é que será refletido nas percepções, justificando entendimentos e atitudes peculiares sobre um mesmo ponto observado. O autor ainda considera que através da percepção são estabelecidas as relações de afetividade do indivíduo para com o meio. E mediante a construção de laços afetivos positivos pode ocorrer a modificação de valores atribuídos por cada pessoa.
Segundo Chauí (2000), não se consegue distinguir percepção de sensação, visto que uma está atrelada à outra; as sensações são concebidas através de percepções, pois estas são sínteses de sensações. A autora traz em sua obra diversos conceitos acerca do termo percepção, com destaque para os que disserta sobre: a história pessoal e a vida social. O primeiro conceito aborda a percepção como aspecto envolvido pela história pessoal, afetividade, desejos etc., ou seja, ela é uma forma essencial de os seres humanos ainda estarem no mundo. O segundo conduz à vida social, na qual os valores e significados atribuídos ao ambiente percebido são motivados pela sociedade em que o indivíduo está inserido.
As pesquisas sobre percepção podem ser sintetizadas em correntes teóricas, que procuram explicar a origem das percepções sobre o espaço vivido. Entre estas correntes se destacam: a empirista, a intelectualista e a fenomenológica (CHAUÍ, 2000; VASCO; ZAKRZEVSKI, 2010).
Para os empiristas, a sensação e a percepção são decorrentes de estímulos externos que atuam sobre os nossos sentidos e sobre o sistema nervoso humano, despertando sensações que acabam por originar diferentes percepções. A causa fundamental do conhecimento sensível é externa, de forma que a sensação e a percepção sejam consequências de uma atividade de corpos exteriores sobre os indivíduos. A corrente intelectualista defende a ideia de que as sensações e percepções são dependentes do sujeito do conhecimento, sendo o exterior um canal de estímulo para reações. O ato de sentir e perceber são eventos que dependem da capacidade do sujeito para decompor um objeto em suas qualidades simples. Nesse caso, o sujeito é ativo e o externo é passivo. A corrente a fenomenológica entende que a percepção é derivada da forma pela qual o indivíduo compreende e interpreta suas ações, a partir das experiências vividas e do seu conhecimento.
Fernandes et al. (2009) apontam, portanto, que os estudos da percepção são essenciais para entender como cada indivíduo percebe, reage e responde de formas diferentes às atividades desenvolvidas no ambiente em que vive. Os resultados decorrentes de tais manifestações são consequências das percepções individuais e coletivas, da capacidade de interpretação dos processos cognitivos, julgamentos e expectativas de cada pessoa.
O termo percepção, para a maior parte dos estudos em percepção ambiental, tem um conceito amplo e popular, indo desde as percepções biofisiológicas (as quais compreendem as atividades vitais ao ser humano), até as imagens sobre o mundo vivido que o indivíduo forma mentalmente, ou seja, a realidade, memórias, experiências, interpretações, atitudes, expectativas e valores. A percepção ambiental está ligada, pois, ao ato de contato com os elementos externos (objetivo e coletivo) e internos (subjetivo e individual) da experiência (DEL RIO, 1991; FERREIRA, 2005).
Na concepção de Tuan (1980, p. 68), para compreender a preferência ambiental é necessário examinar herança biológica, criação, educação, trabalho e o meio em que o indivíduo vive. Em relação aos aspectos coletivos, deve-se conhecer a história cultural e a experiência do grupo no contexto do ambiente físico. Não sendo possível, em nenhum dos casos, “distinguir nitidamente entre os fatores culturais e o papel do meio ambiente físico”. Os conceitos “cultura” e “meio ambiente” se superpõem do mesmo modo que os conceitos “homem” e “natureza” (TUAN, 1980, p. 68).
Tassara e Rabinovich (2003) consideram a percepção um fenômeno psicossocial, em que o sujeito incorpora as suas experiências, interpretando sempre a partir de aspectos culturais, formando uma identidade. Deste modo, “sua identidade será como se espacializa, como se temporaliza, como constrói as narrativas de si próprio a partir desta espacialização e desta temporalização” (TASSARA; RABINOVICH, 2003, p. 340).
A percepção ambiental, em sua totalidade, integra um conjunto de elementos da psicologia, da geografia, da biologia e da antropologia, dentre outras ciências, conforme apontado por Ferreira (2005), apresentando como principal objetivo o entendimento sobre os fatores, os mecanismos e os processos que levam o homem a possuir percepções e comportamentos distintos em relação ao meio ambiente. Fazendo parte de um processo contínuo, a percepção ambiental é construída a todo o momento, seja ela particular ou social, e por isso compreende-se sua complexidade e dependência para com a realidade, visto que os indivíduos apresentam certa fragilidade e condições de manipulá-la.
Também nesse sentido, no entendimento de Melazo (2005), a percepção ambiental precisa estar centrada nas muitas diferenças relacionadas às percepções e aos valores atribuídos por indivíduos que compõem tal cenário. Assim, a diversidade de culturas, as diferenças entre grupos socioeconômicos, desigualdades e realidades vividas influenciam a análise de percepção que se deve ter do meio ambiente.
Portanto, o entendimento de percepção aplicada às relações de indivíduos e comunidades com o meio ambiente define o que se pode chamar de percepção ambiental, considerando-a uma construção permanente e coletiva, em que Poder Público, ONGs e a própria sociedade têm um papel fundamental: de contribuir não apenas na formação dessa consciência coletiva, mas orientar e motivar atitudes que reflitam ações ambientalmente corretas. Os estudos da percepção ambiental são essenciais para a compreensão da relação homem e meio ambiente, podendo ser subsídio para a construção de estratégias que possam minimizar os problemas socioambientais e garantir boa gestão ambiental, qualidade de vida e bem-estar das populações.
Considerando o mercado agroecológico, o produtor não adotará sozinho uma produção agroecológica se não reverberar positivamente no mercado consumidor, sendo válido também o inverso. É, portanto, uma via de mão dupla, de modo a garantir a sua retroalimentação, devendo as diversas instituições estarem presentes para contribuir com a viabilidade e sustentabilidade do processo.
A humanidade enfrenta os desafios socioambientais de acordo com as peculiaridades de suas percepções. Portanto, se faz mister o desenvolvimento de ações conscientes de modo que se afirmem, ao mesmo tempo, cultura e sistema produtivo sócio e ecologicamente equilibrado. Essa construção sistêmica exige compulsoriamente, portanto, que se tenha uma percepção ambiental expansiva a práticas cotidianas sustentáveis de todos os agentes envolvidos. Dentro desta proposta de estudo, o termo percepção ambiental está sendo usado no sentido amplo de uma tomada de consciência do ambiente pelo homem.
4 Método
Esta pesquisa qualifica-se como um estudo de caso, pelo fato de ter sido escolhido um grupo de consumidores de produtos orgânicos de uma feira específica. Além disso, foi efetivado um estudo de campo, indicado por Gil (2002) como aquele que enfoca uma comunidade, podendo não ser geográfica, englobando diversos tipos de atividades voltadas para a participação humana, como de trabalho, estudo e lazer. Essa pesquisa de campo foi concretizada por meio de observações direta das atividades do grupo estudado, para captar explicações e interpretações do que ocorre no grupo.
Trata-se, ainda, de uma pesquisa exploratória-descritiva. O suporte analítico tem por base a utilização de técnicas padronizadas para coleta de dados, tais como o questionário semiestruturado, contendo 69 perguntas, sendo a maioria objetiva, na escala Likert, envolvendo as três dimensões propostas para análise, utilizando-se, ainda, observação sistêmica nas diversas visitas. Os questionários foram aplicados aos consumidores de produtos orgânicos que frequentam a feira agroecológica assistida pela Associação Cristã de Base (ACB), no município de Crato (CE), e serviram de base para elaboração do índice que identificará o nível de percepção ambiental deles quanto a práticas ambientalmente corretas.
No que se refere às dimensões que compõem o índice de avaliação da percepção ambiental, estas são: I) Percepção Geral e Costumes Sociais (individuais e comunitários) Relativos ao Ambiente (PGCSRA); II) Percepção Relativa ao Consumo Habitual (PRCH); III) Percepção Relativa ao Consumo de Alimentos Orgânicos (PRCAO).
A determinação do tamanho da amostra mínima, no caso da variável escolhida ser nominal ou ordinal, população finita, deu-se por meio de amostragem aleatória simples, utilizando-se a fórmula por Vital, Bertolino e Fonseca (2009). Cabe ressaltar que a população considerada é correspondente ao número de consumidores de produtos orgânicos da feira agroecológica assistida pela ACB, perfazendo um total de 160 consumidores, através de estimativa realizada pela coordenação da associação. Assim, para cálculo da amostra:
em que: n é o tamanho inicial da amostra; Z é a abscissa da distribuição normal-padrão (nível de confiança de 90%); p corresponde à proporção adotada (0,5); q é o complemento de p (0,5); ɛ refere-se ao erro de estimação (10%); N é o tamanho da população (160). A partir do cálculo, obteve-se uma amostra de 48 pessoas a serem pesquisadas.
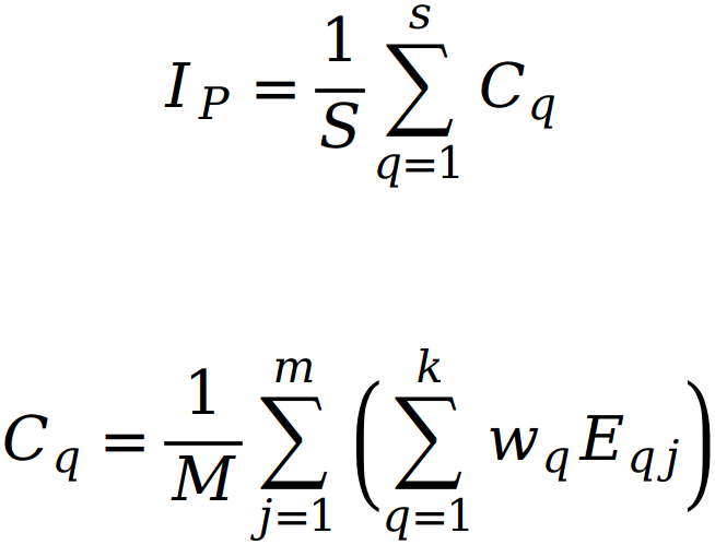
O Índice de Avaliação da Percepção Ambiental (Iapa) consiste na média ponderada dos escores obtidos por três outros índices, que compreendem, no âmbito deste trabalho, as dimensões componentes da percepção ambiental (PGCSRA; PRCH; PRCAO).
Em termos analíticos, o cálculo do Iapa foi realizado como a seguir. Procede-se, inicialmente, ao cálculo do Iapap, relativo a cada dimensão. Assim:
em que: Iapa é o Índice de Avaliação da Percepção Ambiental; Ip refere-se ao valor do p-ésimo índice; wp é o peso relativo do p-ésimo índice.
Cada índice, por sua vez, é formado a partir de um conjunto de indicadores. Logo, o valor do p-ésimo índice e a contribuição do q-ésimo indicador foram calculados da seguinte forma:
em que: wq representa o peso relativo do q-ésimo indicador no p-ésimo índice; Cq equivale à contribuição do q-ésimo indicador no p-ésimo índice; Eqj é o escore do q-ésimo indicador obtida pelo j-ésimo pesquisado; j = 1,..., m (consumidores); q = 1,...s (número de indicadores que compõe o p-ésimo índice).
Para examinar o grau de percepção ambiental dos consumidores de produtos orgânicos, optou-se pela utilização da média geométrica dos índices das dimensões ao invés da média aritmética, pela necessidade de reduzir um efeito comum na construção de indicadores sintéticos, que consiste na possibilidade de altos valores em uma dimensão compensar baixos valores em outra, além da média aritmética ser mais sensível a valores extremos, como no percurso metodológico de Moreira et al. (2019). Cabe ressaltar que esta metodologia é utilizada no cálculo do Índice de Desenvolvimento Humano (IDH) desde 2010. Dessa forma, a escala de comparação está subdividida em três níveis, que podem variar de 0 a 1, como observado no Quadro 1.
Quadro 1 – Escala de comparação da percepção ambiental por nível de classificação.
Baixo nível de percepção ambiental | de 0 a 0,500 |
Intermediário nível de percepção ambiental | de 0,501 a 0,799 |
Alto nível de percepção ambiental | de 0,800 a 1 |
Fonte: Elaboração dos autores a partir do levantamento de dados obtidos da pesquisa (2020).
5 Resultados e discussões
5.1 Aspectos gerais do índice e das dimensões propostas
Os principais resultados referentes ao índice e às dimensões sugeridas no presente trabalho são mostrados na Tabela 1, que exibe a distribuição absoluta do grau de percepção dos consumidores de produtos orgânicos, por classificação no Índice de Avaliação de Percepção Ambiental.
Tabela 1 – Distribuição absoluta do grau de percepção dos consumidores de produtos orgânicos da feira agroecológica assistida pela ACB, em Crato – CE, por classificação no Índice de Avaliação de Percepção Ambiental (Iapa) – 2019.
Escala de Classificação | Índices | |||
PGCSRA | PRCH | PRCAO | IAPA | |
Baixo (0 a 0,500) | 1 | 7 | 1 | 1 |
Intermediário (0,501 a 0,799) | 20 | 27 | 5 | 17 |
Alto (0,800 a 1) | 27 | 14 | 42 | 30 |
Total | 48 | 48 | 48 | 48 |
Fonte: Elaboração dos autores a partir do levantamento de dados obtidos da pesquisa (2020).
De forma geral, os dados apontam maior concentração de consumidores no nível de percepção ambiental nas categorias “alto” e “intermediário”. Depreende-se, por meio da análise da dimensão de Percepção Geral e Costumes Sociais (individuais e comunitários) Relativos ao Ambiente (PGCSRA), que 97,91% dos consumidores compõem a classificação mencionada anteriormente. Quanto às demais dimensões, na Percepção Relativa ao Consumo Habitual (PRCH), observam-se os valores mais distribuídos entre as escalas de classificação “intermediário”, 56,25%, e “alto”, 29,17%, e os demais estão no nível “baixo”, apresentando um percentual de 14,58%. Por outro lado, no que se refere à Percepção Relativa ao Consumo de Alimentos Orgânicos (PRCAO), constata-se a concentração de valores na categoria “alto”, com 87,5%. Quanto ao Índice de Avaliação da Percepção Ambiental (Iapa), tem-se a predominância dos níveis “alto” e “intermediário”, em que 47 consumidores estão inseridos nessas faixas de classificação.
Considerando o Iapa, nota-se que 62,5% dos consumidores demonstram alta percepção ambiental. Cabe ressaltar que esse resultado foi diretamente influenciado pelos valores apresentados para o quesito “alto” de classificação de dois dos três índices mencionados: Percepção Geral e Costumes Sociais (individuais e comunitários) Relativos ao Ambiente (PGCSRA) e Percepção Relativa ao Consumo de Alimentos Orgânicos (PRCAO), com 56,25% e 87,5%, respectivamente.
5.2 Percepção Geral e Costumes Sociais (individuais e comunitários) Relativos ao Ambiente (PGCSRA)
Na concepção dos consumidores, quando perguntados se sabem o que é meio ambiente, 89,58% afirmaram que “sim”, definindo-o como as florestas, os animais, solo, ar, atmosfera, seres vivos e não vivos; é a natureza, um conjunto de condições que permite reger a vida de todas as formas em um modelo de equilíbrio natural. Os demais (10,42%) não sabem e, por essa razão, não discorreram sobre o que foi questionado. O meio ambiente é biologicamente modificado todos os dias, seja por ações individuais ou coletivas realizadas, de modo especial, pela intensificação das atividades produtivas. Quando são questionados pelo indicador “conhece o que é impacto/dano ambiental”, 87,5% dos entrevistados afirmaram saber e definiram como sendo: queimadas, lixo, desmatamento, poluição dos oceanos; todo tipo de interferência causada por ações humanas que provoquem modificações ou destruição do ecossistema natural. Os demais (12,5%) afirmaram desconhecer a temática citada.
No que concerne à posição do indicador “as árvores afetam sua vida”, 72,9% dos entrevistados demonstraram compreender que as árvores são de fundamental importância para que exista vida, contribuindo positivamente com a produção de oxigênio, o equilíbrio da temperatura, o ar puro, a manutenção do ecossistema, proporcionando, assim, uma melhor qualidade de vida para a sociedade. Os demais entrevistados (27,1%) compreendem que as árvores não são responsáveis por determinada interferência.
Para uma melhor circulação de fluxos de pessoas em espaços urbanos, é essencial que as cidades sejam organizadas, estruturadas e capazes de suprir as demandas de mobilidade, deslocamento de pessoas, proporcionando bem-estar à população que venha a usufruir de tais benefícios. É evidente a apreensão destes consumidores quanto à condição das ruas e calçadas do bairro/comunidade, uma vez que 77,8% mostram-se sempre preocupados e apontaram como problemas a falta de pavimentação e saneamento básico, ruas esburacadas e acúmulo de mato.
Observa-se, ainda, que os consumidores estão cientes da importância do descarte correto do lixo, pois 79,17% mostraram-se preocupados com o descarte adequado. Quanto aos efeitos nocivos desse descarte, 91,67% afirmam conhecer os riscos do descarte em ruas e lixões, e os mais citados foram: contaminação do solo, poluição do meio ambiente, degradação do ecossistema, proliferação de doenças provocadas pelo número de insetos no local, contaminação dos rios e do ar pela queima desses dejetos; 72,92% atestaram identificar alguma doença causada por esse descarte inadequado (tétano, doença respiratória, leptospirose, diarreia, febre, micose, dengue, Zika, conjuntivite, cólera, leishmaniose). Diante da problemática citada, 56,25% constataram que seu bairro/povoado não está livre do mau cheiro e dos problemas causados pelo lixo.
Tabela 2 – Percepção Geral e Costumes Sociais (individuais e comunitários) Relativos ao Ambiente (PGCSRA) (%).
INDICADORES | SIM | NÃO | NÃO SEI | TOTAL | ||
1.1 Conhece o que é meio ambiente | 89,58 | 10,42 | – | 100 | ||
1.2 Sabe o que é impacto/dano ambiental | 87,5 | 12,5 | – | 100 | ||
1.3 As árvores afetam a vida | 72,9 | 27,1 | – | 100 | ||
1.4 Conhece os riscos do descarte do lixo nas ruas/lixões | 91,67 | 8,33 | – | 100 | ||
1.5 Identifica alguma doença causada pelo descarte inadequado do lixo no bairro/povoado | 72,92 | 27,08 | – | 100 | ||
1.6 Bairro/povoado está livre do mau cheiro e de doenças causadas pelo lixo | 39,58 | 56,25 | 4,17 | 100 | ||
1.7 Considera importante realizar a separação do lixo | 95,83 | 4,17 | – | 100 | ||
1.8 Sabe o que é reciclagem | 93,75 | 6,25 | – | 100 | ||
1.9 Faz separação do lixo | 79,17 | 20,83 | – | 100 | ||
1.10 Conhece o destino do esgoto das residências | 70,83 | 29,17 | – | 100 | ||
1.11 Acha esse destino adequado | 27,08 | 47,92 | 25 | 100 | ||
1.12 Identifica alguma doença causada pelo destino inadequado do esgoto | 66,67 | 33,33 | – | 100 | ||
1.13 Se preocupa em economizar água | 100 | – | – | 100 | ||
1.14 Proteção ambiental pode prejudicar o desenvolvimento da sua cidade | 8,33 | 91,67 | – | 100 | ||
1.15 Causa danos ambientais no dia a dia | 41,67 | 47,92 | 10,42 | 100 | ||
1.16 Sabe o que é aquecimento global | 75 | 25 | – | 100 | ||
1.17 Acredita que existe aquecimento global | 85,42 | 14,58 | – | 100 | ||
1.18 Acredita que é causado por ações humanas ou das atividades produtivas | 97,56 | 2,44 | – | 100 | ||
SEMPRE | QUASE SEMPRE | ÀS VEZES | POUQ. VEZES | NUNCA | ||
1.19 Preocupação com as condições das ruas e calçadas (bairro/comunidade) | 77,08 | 6,25 | 8,33 | 4,17 | 4,17 | 100 |
1.20 Se importa com o destino do lixo | 79,17 | 6,25 | 4,17 | 4,17 | 6,25 | 100 |
1.21 Se preocupa em economizar energia elétrica | 89,58 | 8,33 | – | 2,08 | 100 | |
1.22 Deixa aparelhos eletrônicos e eletrodomésticos ligados, quando não está sendo utilizado | 2,08 | 2,08 | 6,25 | 20,83 | 68,75 | 100 |
1.23 Se preocupa com o tempo que passa no banho | 79,17 | 10,42 | 4,17 | – | 6,25 | 100 |
1.24 Durante a escovação de dentes mantém a torneira aberta | 16,67 | 2,08 | 6,25 | 14,58 | 60,42 | 100 |
1.25 Se preocupa com problemas ambientais | 70,83 | 12,5 | 10,42 | – | 6,25 | 100 |
Média 0,78 Mínimo 0,36 Máximo 0,92 Desvio-padrão 0,11 | ||||||
Fonte: Elaboração dos autores a partir do levantamento de dados obtidos da pesquisa (2020).
No que diz respeito à importância de realização da separação do lixo, nota-se a elevada percepção e mudança de comportamento dos entrevistados, quando 95,83% afirmaram ser de extrema relevância realizar tal processo, pois é importante para o meio ambiente, manuseio da coleta, facilitar o trabalho dos recicladores e também para que esses materiais sejam transformados e voltem a ser utilizados pela sociedade.
Quando questionados se “sabe o que é reciclagem”, 93,75% afirmaram compreender e a definiram como o reaproveitamento do lixo inorgânico, que seria dado como descartado pela maioria das pessoas, transformando-o em produtos novos, que possam ser reutilizados pela sociedade. Além disso, 79,17% dos consumidores asseguram que realizam separação do lixo, que é feita da seguinte forma: transformação do lixo orgânico em adubos, o inorgânico é colocado em sacolas diferentes de acordo com a classificação de cada lixo (vidro, papel, plástico, eletrônico); determinados tipos de lixo, como frascos de perfume, são entregues em pontos de coleta disponíveis na cidade. Um problema frequente mencionado foi a falta de coleta seletiva na cidade.
Com relação ao saneamento básico, 70,83% asseguraram conhecer o destino do esgoto das residências. Estes afirmaram reutilizar a água que iria para o esgoto para adubar, exceto a que vai para a fossa, outros afirmaram ser descartada a céu aberto, tendo o canal rio Granjeiro como destino. Quanto às implicações provocadas pela falta de saneamento adequado das residências, 66,67% dos consumidores afirmaram identificar alguma doença provocada pelo esgoto a céu aberto, entre elas estão a dengue, alergia, micose, esquistossomose, giárdia, poliomielite, ascaridíase e disenteria. Apesar disso, 47,92% afirmaram achar adequado esse destino do esgoto.
No tocante aos hábitos no consumo de água, todos afirmaram que se preocupam em economizar água, gastando apenas o necessário. Entre estes, 79,17% disseram estar sempre preocupados com o tempo gasto no banho e 60,42% nunca mantêm a torneira aberta durante a escovação de dentes. A economia de água, como apontado, pode ser feita da seguinte forma: fechando torneiras e chuveiros corretamente para que estes não fiquem pingando; não lavando calçadas; não lavando carro com mangueira; lavando roupa uma vez por semana; e reaproveitando a água para regar as plantas. A prática dessas atividades no cotidiano é de extrema importância, porque a água é escassa, um recurso limitado, devendo ser usada corretamente para que não falte para as gerações futuras, podendo refletir também na redução da conta a ser paga. Relativo à energia elétrica, 89,58% dos consumidores afirmaram preocupação com seu consumo; ainda, 68,75% nunca deixam aparelhos ligados quando não são utilizados.
A proteção ambiental deve ser realizada de forma individual ou social. Desse modo, o indivíduo deve-se mostrar consciente dos problemas ambientais enfrentados e que poderão emergir de ações impróprias e individualistas, que acabe por degradar o ecossistema. Dos entrevistados, 91,67% mostraram-se cientes de que a proteção ambiental não afeta o desenvolvimento das cidades; 70,83% afirmam sempre se preocupar com os problemas ambientais. No entanto, observa-se que quando questionados sobre os danos ambientais causados no dia a dia, um número expressivo de consumidores (47,92%) afirmou não afetar o meio com hábitos e atividades desenvolvidas no cotidiano, enquanto 41,67% compreendem ser causadores de algum dano/impacto ambiental, por meio do descarte inadequado do lixo, principalmente embalagens, plásticos e sacolas; do destino inadequado tomado pelo esgoto das residências e a não iniciativa para orientar a população, mesmo observando que estas não estão procedendo de forma correta.
Os últimos indicadores desta primeira dimensão estão relacionados ao entendimento de um dos problemas ambientais mais discutidos mundialmente, o “aquecimento global”. Com base nisso, 75% dos entrevistados demostraram ter entendimento sobre o tema e compreendem o seu significado, apontado por um dos consumidores como um “processo de aumento desordenado da temperatura dos oceanos e da atmosfera, causada pela mudança no uso da terra, e como as atividades produtivas estão sendo desenvolvidas, afetando a camada de ozônio, que é refletido no aumento da temperatura e qualidade do ar”. Considerando aqueles que demonstraram compreender o significado de “aquecimento global”, 85,42% afirmaram acreditar que o problema existe e, destes, 97,56% declararam que este é causado por ações humanas e pelas atividades produtivas.
Mediante a classificação dos valores absolutos dos consumidores de produtos orgânicos da dimensão PGCSRA, em virtude da concentração nas categorias “intermediário” e “alto”, inferiu-se um valor médio intermediário para tal dimensão (0,78), apresentando variação entre mínimo e máximo, de 0,36 e 0,92, respectivamente. No entanto, cabe observar que por muito pouco (0,01) esta dimensão não foi classificada como alta. Estes valores mostram que quando questionados sobre assuntos pertinentes a aspectos gerais relativos ao meio ambiente, estes são bem compreendidos pelos consumidores de produtos orgânicos da feira assistida pela Associação Cristã de Base (ACB), no Crato (CE).
5.3 Percepção Relativa ao Consumo Habitual (PRCH)
A forma como as pessoas agem no cotidiano é capaz de revelar a dimensão que se encontra a tomada de consciência do homem para com o meio ambiente. Deste modo, as práticas de consumo cotidianas, de forma geral, também nos fornecem elementos para compreender o nível de relação entre indivíduo e natureza e, consequentemente, a sua percepção ambiental.
Diante disso, a segunda dimensão do índice é responsável, pois, por investigar a percepção desses consumidores quanto ao seu consumo habitual. Quando questionados se são adeptos da reciclagem, as porcentagens mais expressivas foram: 52,08% afirmam que sempre reciclam; e 16,67%, quase sempre,. O indicador seguinte investiga se, “antes do lixo ser descartado, é pensado em como poderia ser reutilizado”, e as respostas mais frequentes entre esses consumidores foram: sempre, 47,97%, e pouquíssimas vezes, 16,67%. Dos entrevistados, 58,33% percebem a importância de realizar o descarte adequado do lixo e afirmaram separar tudo aquilo que pode ser reciclado. Estes resultados são semelhantes aos encontrados por Zanella (2017) e Gonçalves (2017).
Tabela 3 – Percepção Relativa ao Consumo Habitual (PRCH) (%).
INDICADORES | SEMPRE | QUASE SEMPRE | ÀS VEZES | POUQ. VEZES | NUNCA | TOTAL |
2.1 É adepto da reciclagem | 52,08 | 16,67 | 6,25 | 10,42 | 14,58 | 100 |
2.2 Antes de jogar algo no lixo, pensa em como poderia reutilizá-lo | 47,97 | 14,58 | 8,33 | 16,67 | 12,5 | 100 |
2.3 Separa o lixo que pode ser reciclado | 58,33 | 8,33 | 12,5 | 6,25 | 14,58 | 100 |
2.4 Consome produtos de feiras de usados | 27,08 | 8,33 | 22,92 | 18,75 | 22,92 | 100 |
2.5 Doa ou vende produtos para serem reutilizados por outros | 58,33 | 16,67 | 16,67 | 2,08 | 6,25 | 100 |
2.6 Utiliza os dois lados dos papéis ou reutiliza rascunhos | 77,08 | 2,08 | 10,42 | 4,17 | 6,25 | 100 |
2.7 Evita impressões, fazendo leituras no computador | 25 | 14,58 | 14,58 | 10,42 | 35,42 | 100 |
2.8 Ao comprar, tem a prática de procurar saber se o fabricante tem ações ambientais | 25 | 8,33 | 14,58 | 18,75 | 33,33 | 100 |
2.9 Antes da compra tem a prática de verificar rótulos e embalagens, para identificar um produto ambientalmente correto | 43,75 | 12,5 | 18,75 | 12,5 | 12,5 | 100 |
2.10 Tem a prática de comprar produtos biodegradáveis | 27,08 | 16,67 | 22,92 | 16,67 | 16,67 | 100 |
2.11 Tem a prática de comprar lâmpadas e eletrodomésticos que gastam menos energia | 87,5 | 10,42 | 2,08 | – | – | 100 |
2.12 Está disposto(a) a pagar mais por um produto que não polui o meio ambiente | 54,17 | 22,92 | 10,42 | 8,33 | 4,17 | 100 |
2.13 Nas compras, se o produto é identificado como “ambientalmente correto”, isso pode determinar sua preferência | 75 | 12,5 | 8,33 | 2,08 | 2,08 | 100 |
2.14 Se dispõe a mudar de marca de produto para auxiliar na conservação do meio ambiente | 52,08 | 22,92 | 16,67 | 2,08 | 6,25 | 100 |
Média 0,69 Mínimo 0,28 Máximo 1 Desvio-padrão 0,17 | ||||||
Fonte: Elaboração dos autores a partir do levantamento de dados obtidos da pesquisa (2020).
Um das formas de consumo consciente pode estar na procura de produtos no mercado de usados. Diante disso, cabe observar o equilíbrio nas respostas obtidas pelo indicador que questiona sobre o “consumo de produtos em feiras de usados”: 27,08% afirmaram que sempre consomem; 22,92%, às vezes; 22,92%, nunca; 18,75%, pouquíssimas vezes; e 8,33%, quase sempre. Quando indagados, 58,33% afirmaram que sempre têm objetos que não são utilizados, mas doam ou vendem para que sejam usados por outras pessoas.
Quanto ao uso correto do papel, 77,08% afirmaram sempre utilizar, por exemplo, os dois lados de uma folha e reutilizar rascunhos. No entanto, quando se trata de evitar impressões, realizando leituras no computador, 35,42% afirmaram que não têm tal hábito, seguidos por 25%, que sempre leem no computador e evitam impressão.
Pôde-se constatar que a forma como o fabricante realiza o processo produtivo, tendo ou não ações ambientalmente corretas, tem pouca influência sobre o consumo dos produtos, uma vez que 33,33% não mantêm a prática de procurar saber se a empresa desenvolve atividades ambientalmente corretas, enquanto 25% afirmaram sempre procurar saber; 43,75% dos entrevistados disseram que, durante as compras, observam rótulos e embalagens para identificar se o produto é ambientalmente correto. Aqui, cabe ressaltar o que Marconi et al. (2004) apontam no que diz respeito a problema relevante identificado por consumidores paulistas, quanto à falta de informações sobre os produtos orgânicos e a forma de identificá-los.
Ao serem investigados sobre a prática de consumo de produtos biodegradáveis, observa-se um equilíbrio entre as respostas: 27,08% afirmaram sempre procurar estes produtos; 22,92%, às vezes; e as demais opções de respostas repetem a porcentagem de 16,67%.
Relativo ao consumo de energia elétrica, quando se trata da compra de eletrodomésticos que consomem menos energia, 87,5% dos entrevistados declararam que sempre procuram tais produtos, motivados principalmente pelo fator preço, mas também compreendendo o passivo ambiental associado a esse tipo de demanda. A influência do fator preço no consumo também se mostrou decisiva nos estudos de Shimada et al. (2017), porém, para os consumidores pesquisados no citado estudo, o passivo ambiental apresentou menor peso na decisão de consumo.
Da população entrevistada, 54,17% se mostraram disposta a pagar mais por um produto que não polua o meio ambiente; 52,08% se dispõem a mudar de marca para auxiliar na preservação do meio ambiente; e 75% afirmaram que se o produto for identificado como ambientalmente correto, pode determinar sua preferência.
Referente aos dados apresentados, esta dimensão classifica-se como nível “intermediário de percepção”. Nesta perspectiva, apesar do valor médio (0,69) da (PRCH), mínimo (0,28) e máximo (1), observa-se uma pequena redução em relação à dimensão anterior.
5.4 Percepção Relativa ao Consumo de Alimentos Orgânicos (PRCAO)
O consumo de alimentos orgânicos é extremamente relevante na perspectiva socioambiental, considerando os benefícios à saúde de consumidores e produtores, mas principalmente no que diz respeito à redução dos impactos causados pelo processo produtivo sobre o meio natural. Esta terceira dimensão contém indicadores que investigam a percepção desses consumidores quanto ao consumo mais específico de alimentos orgânicos.
As pessoas que procuram alimentos orgânicos normalmente são aquelas que conhecem os benefícios apresentados, seja ele pessoal ou social. Entre os entrevistados, 91,67% afirmaram ter conhecido o mercado de produtos orgânicos pela existência da feira ou por exemplo de familiares e amigos; 83,33%, se mostraram sempre preocupados com a própria alimentação e da família; todos concordaram que os alimentos orgânicos fazem bem à saúde; 72,92% declararam que estes produtos estão livres de agrotóxicos, mesmo sem conhecer como se deu o processo produtivo; 85,42% concordaram que se trata de produtos mais seguros em relação à saúde e à higiene que os alimentos convencionais; 81,25% estão de acordo que a produção de orgânicos respeita o meio ambiente. De modo geral, essa realidade, em que a maioria dos consumidores possui informações sobre o sistema de produção orgânica e reconhece os benefícios para saúde humana e meio ambiente de produtos orgânicos relativos aos produtos convencionais, é constatada em diferentes realidades e regiões, como apontado em Bernardino (2015), para consumidores da feira agroecológica Bairro Vermelho, em Vitória – ES; Pimenta et al. (2009), para consumidores de orgânicos de Maringá-PR; Landim e Santos (2020), para consumidores de hortifrutigranjeiro do município de Lavras da Mangabeira – CE, entre outros.
Tabela 4 – Percepção Relativa ao Consumo de Alimentos Orgânicos (PRCAO) (%).
INDICADORES | SEMPRE | QUASE SEMPRE | ÀS VEZES | POUQ. VEZES | NUNCA | TOTAL |
3.1 Se preocupa com a própria alimentação | 83,33 | 10,42 | 4,17 | – | 2,08 | 100 |
3.2 Se preocupa com a alimentação da família | 83,33 | 12,5 | – | 2,08 | 2,08 | 100 |
DISC. TOTAL- | DISC. PARCIAL-MENTE | CONC. TOTAL- | INDIFE-RENTE | – | ||
3.3 Os produtos orgânicos fazem bem à saúde | – | – | 100 | – | 100 | |
3.4 Os produtos orgânicos estão livres de agrotóxicos | – | 27,08 | 72,92 | – | 100 | |
3.5 Os produtos orgânicos são mais seguros em relação à saúde e à higiene que os alimentos convencionais | – | 14,58 | 85,42 | – | 100 | |
3.6 A produção de orgânicos respeita a preservação do meio ambiente | – | 12,5 | 81,25 | 6,25 | 100 | |
É INDIFE- | PREFERE FEIRAS | SUPERMER- | – | – | ||
3.7 Em relação a produtos orgânicos adquiridos numa feira ou num supermercado, você: | 8,33 | 89,58 | 2,08 | – | – | 100 |
SIM | NÃO | – | – | – | ||
3.8 Na sua escolha por produto orgânico leva em consideração a saúde do agricultor | 89,58 | 10,42 | – | – | – | 100 |
3.9 Na sua escolha por produto orgânico pensa no benefício/ renda que pode trazer para o agricultor | 93,75 | 6,25 | – | – | – | 100 |
Média 0,91 Mínimo 0,5 Máximo 1 Desvio-padrão 0,10 | ||||||
Fonte: Elaboração dos autores a partir do levantamento de dados obtidos da pesquisa (2020).
Quando questionados pelo indicador “em relação a produtos orgânicos adquiridos numa feira ou num supermercado”, 89,58% afirmaram preferir feiras, 8,33% disseram ser indiferentes e 2,08% preferem supermercados ou lojas especializadas. A não utilização de adubos químicos e pesticidas durante o processo produtivo também é importante quando levada em conta a saúde do produtor. Dentre a população estudada, 89,58% se mostraram preocupados. Ao consumir qualquer produto, gera-se benefício/renda para alguém. No caso de produtos orgânicos, 93,75% dos entrevistados afirmaram pensar no retorno financeiro dado a estas famílias de produtores, inclusive alguns entrevistados asseguraram diversificar ao máximo a quantidade de agricultores na hora da compra dos produtos. Fatores como geração emprego/renda influenciando na decisão de compra de orgânicos são apontados por Trevisan e Casemiro (2009), mas não se trata de um determinante mais amplamente encontrado nas diferentes realidades. Em Bernardino (2015), os fatores são bem mais individuais ou pragmáticos (saúde, ausência de agrotóxicos, qualidade de vida) que de foro coletivo, ou mais altruísta, como os que envolvem a preocupação com o produtor.
Em relação às estatísticas descritivas do índice, o valor médio da (PRCAO) foi ligeiramente maior que as demais dimensões apresentadas anteriormente (0,91), com o mínimo de 0,5 e o máximo de 1. Estes números se fazem elevados pelo alto conhecimento desses consumidores quanto aos benefícios que o consumo de orgânicos pode trazer, de forma geral.
5.5 Breves considerações sobre o Iapa
Pelos valores expostos na Tabela 5, que se refere à classificação geral das dimensões que compõem o índice, é percebido que o valor obtido na Percepção Geral e Costumes Sociais (individuais e comunitários) Relativos ao Ambiente (PGCSRA) foi de 0,78. Este valor está muito próximo do limite superior do que se classifica como “intermediária percepção”. Mas, de certa forma, o grau de escolaridade e o conhecimento apresentado por esses indivíduos influenciam diretamente a forma como o ambiente é percebido, aproximando a interpretação da percepção da corrente intelectualista, para a qual as sensações e percepções são dependentes do sujeito do conhecimento. Ainda conforme dados da pesquisa, 45,83% dos entrevistados possuem nível superior e, somando-se àqueles com Ensino Médio completo, totalizam-se 77,1% dos declarantes com acesso a informações relevantes para a apreensão de diferentes aspectos que envolvem a relação indivíduos-natureza, sendo importante, para isso, nível de conhecimento, cultura e experiências individuais, como apontado por Brandalise et al. (2009), Melazo (2005) e Palmas (2005).
Como expresso por Trajber e Sorrentino (2007), é através de processos educativos continuados que se possibilita o respeito à diversidade biológica, cultural, étnica, juntamente com o fortalecimento da resistência da sociedade a um modelo devastador das relações de seres humanos e, destes, com o meio ambiente.
Em relação à Percepção Relativa ao Consumo Habitual (PRCH), obteve-se o valor de 0,69, enquadrando-se na escala de classificação “intermediário”. É importante refletir que não basta apenas conhecer o meio ambiente e as atividades cotidianas que influenciam a degradação de tal meio, mas contribuir com mudanças de posturas em prol de um consumo ecologicamente equilibrado.
Tabela 5 – Valores do Iapa e demais índices das dimensões do Iapa – Consumidores de produtos orgânicos da feira agroecológica assistida pela ACB do município de Crato – CE/2019.
Índices das Dimensões | Valor |
Percepção geral e costumes sociais (individuais e comunitários) relativos ao ambiente (PGCSRA) Percepção relativa ao consumo habitual (PRCH) Percepção relativa ao consumo de alimentos orgânicos (PRCAO) Índice de Avaliação da Percepção Ambiental (IAPA) | 0,78 0,69 0,91 0,80 |
Estatística Descritiva do Índice Média 0,80 Mínimo 0,44 Máximo 0,96 Desvio-padrão 0,09 | |
Fonte: Elaboração dos autores a partir do levantamento de dados obtidos da pesquisa (2020).
A dimensão que apresentou maior média foi a Percepção Relativa ao Consumo de Alimentos Orgânicos (PRCAO), com 0,91. É sabido que esses consumidores vão à feira conhecendo os benefícios da aquisição de produtos orgânicos, com boa parte incorporando essa prática de consumo em sua vida cotidiana. Ressalta-se, nessa perspectiva, de acordo com o perfil dos consumidores (dados da pesquisa), que 64,58% afirmaram frequentar a feira todas as semanas; 22,92%, a cada 15 dias; 10,4%, uma vez por mês; e apenas 2,08% consomem esporadicamente. Os vínculos desses consumidores se fortalecem, visto que a feira assistida pela ACB é a mais antiga da região do Cariri, ocorrendo semanalmente desde 2003, e 31,25% dos entrevistados, por exemplo, revelaram frequentá-la há mais de 10 anos. Nesse sentido, o ambiente vivenciado, expresso nos vínculos e relações de afetividade dos consumidores com a feira, e os diversos laços afetivos desenvolvidos entre o conjunto de atores, construídos em anos de vivência e parceria, são refletidos, como destaca Krzysczak (2016), nos valores atribuídos pelos consumidores e, consequentemente, em sua percepção ambiental.
Destacam-se, neste caso, elementos da percepção no sentido fenomenológico, nos quais experiências vividas e conhecimento contribuem para a troca de saberes e influenciam uma melhora na consciência ambiental.
Como essa dimensão é talvez a mais afetada pelo cotidiano coletivo, em que os diferentes estilos de vida, diversidade de culturas e realidades vividas acabam integrando-se à própria lógica da feira, a partir de interações produtor-produtor, produtor-consumidor, consumidor-consumidor, e entre todos estes e a presença e acompanhamento constante dos colaboradores da ONG em atuação, os resultados refletem não apenas o sentido da percepção individual, mas fundamentalmente das influências coletivas, como já apontado por Fernandes et al. (2009). Aqui, também se reproduz a ideia de que a percepção ambiental é construída a todo momento, seja ela particular ou social (FERREIRA, 2005).
Constatou-se, também, por meio da observação participante, que os diferentes atores que atuam neste Circuito Curto de Comercialização – CCC, dentre os quais muitos produtores, colaboradores através da ONG e consumidores, possuem algum tipo de participação ou envolvimento em movimentos de certo protagonismo social, nos quais se destacam: a própria participação da ONG na Articulação do Semiárido Brasileiro (ASA); a origem de diversos produtores em assentamentos com grande histórico de resistência e luta pela terra, como o assentamento de 10 de Abril; os vínculos de agricultores com sindicatos de trabalhadores rurais; a participação de consumidoras nos movimentos de mulheres, como a Frente de Mulheres do Cariri; de consumidores de ambos os gêneros em movimentos de resistência negra e LGBTQ+ e organizações sindicais da região, entre outros, contribuindo, certamente, para o melhoramento da cultura ambiental dentro deste CCC. Nesse sentido, a história cultural e a experiência do grupo, no contexto do ambiente físico, também são relevantes (TUAN, 1980), e valores e significados atribuídos ao ambiente percebido são motivados pela sociedade em que o indivíduo está inserido, como destaca Chauí (2000). Isto posto, o conhecimento dos benefícios que a produção orgânica proporciona se refletiu no alto índice apresentado para a PRCAO, como mencionado, valendo destacar que o caráter individual e subjetivo tem peso na experiência desses indivíduos na dinâmica de feira, mas isso não se estende, com a mesma magnitude, à percepção mais ligada a padrões de consumo de forma geral, como constatado pela dimensão PRCH.
Assim, conclui-se, por meio das estatísticas descritivas do Índice de Avaliação da Percepção Ambiental (Iapa), que o grau de percepção ambiental dos consumidores de produtos orgânicos da feira agroecológica assistida pela Associação Cristã de Base (ACB), no município de Crato, está classificado no nível “alto”, apresentando um índice geral médio igual a 0,80, porém no limite inferior dessa classificação.
Considerações finais
Os dados da pesquisam revelam certas particularidades que merecem destaque na análise das dimensões. No que concerne a noções gerais de percepção sobre questões ambientais (PGCSRA), os consumidores demonstraram um nível elevado de conhecimento sobre vulnerabilidades ambientais, reciclagem, separação de lixo, conhecimento e preocupação com descarte inadequado, entre outros fatores. Essas questões são mais amplamente debatidas pela sociedade e mais fáceis de serem incorporadas nas práticas cotidianas, como as recomendações de parte das vertentes da educação ambiental que acabam por transferir, ao indivíduo e às suas ações, a responsabilidade por evitar o colapso ambiental do planeta. Mesmo assim, chama a atenção os resultados do indicador “causa danos ambientais no dia a dia”, pois quase metade dos entrevistados, correspondente a 47,92%, afirmou não provocar danos diários ao meio ambiente e, ainda, 91,67% mostraram-se cientes de que “a proteção ambiental não afeta o desenvolvimento das cidades”, revelando que é limitada a percepção dos consumidores sobre a própria noção de desenvolvimento.
Todavia, as questões mais estruturais apontadas pela educação ambiental crítica[7], como a que questiona a lógica de acumulação do sistema econômico, mostram que não basta reciclar, reutilizar, pois é preciso fundamentalmente reduzir e mudar práticas de consumo, o que ocorre de forma menos acentuada nos consumidores em análise, o que reflete no menor índice da dimensão que trata do consumo habitual. Sobre a postura de uma consciência coletiva mais sistêmica e crítica, destacam-se o alto percentual de consumidores que não se dispõem a mudar o consumo por marcas que contribuam com a melhoria ambiental e a baixa preocupação geral com a origem do produto, no item sobre consumo de produto ambientalmente correto.
Os melhores níveis de percepção se encontram no campo de aderir à produção orgânica como aquela que faz bem à saúde, aos produtores, ao meio ambiente e, consequentemente, ao planeta.
O resultado geral assinala “alto” grau de percepção ambiental dos consumidores de produtos orgânicos da feira agroecológica assistida pela Associação Cristã de Base (ACB), no município de Crato. Cabe salientar, para fins de tais resultados, que o grau de instrução educacional, o convívio social e a preocupação com as gerações futuras, apresentados por esses consumidores, foram fatores de extrema importância para os números tão elevados obtidos no Índice, mesmo que estes ressaltem a falta de políticas públicas voltadas para a conscientização e educação ambiental da sociedade.
Referências bibliográficas
ALTIERI, M. Agroecologia: A dinâmica produtiva da agricultura sustentável. 4. ed. Porto Alegre: Editora da UFRGS, 2004. Disponível em: <https://www.socla.co/wp-content/uploads/2014/Agroecologia-Altieri-Portugues.pdf>. Acesso em: 13 nov. 2019.
ASSIS, L.; ROMEIRO, A. R. Agroecologia e agricultura orgânica: controvérsias e tendências. Revista Desenvolvimento e Meio Ambiente Caminhos da Agricultura Ecológica, Paraná, v.6, p. 67-80, jul.-dez. 2002.
ALVES, L. R.; BECKER, C.; NASCIMENTO, S. G. da S.; ÁVILA, M. R. de. Percepção ambiental e agricultura familiar: o caso da cooperativa “Agroecologia, Terra, Pampa e Fronteira”. Revista Brasileira de Agropecuária Sustentável, v.8, n.3, 2018.
BALSAN, R. Impactos decorrentes da modernização da agricultura brasileira. Revista de Geografia Agrária, v.1, n.2, p. 123-151, ago. 2006.
BERNARDINO, R.V. Uma análise sociológica sobre o consumo de alimentos orgânicos a partir das representações sociais dos consumidores da feira orgânica do bairro Barro Vermelho em Vitória – ES. Dissertação (Mestrado em Ciências Sociais). Universidade Federal do Espírito Santo. Vitória (ES), 2015.
BRANDALISE, L. T; BERTOLINI, G. R. F; ROJO, C. A; LEZANA, Á. G. R; POSSAMAI, O. A percepção e o comportamento ambiental dos universitários em relação ao grau de educação ambiental. Gestão & Produção, São Carlos, v.16, n.2, p. 273-285, abr.-jun. 2009.
CARNEIRO, C. M. F. M. L. Escolha de alimentos em feiras de produtos orgânicos: um estudo de percepção ambiental em abordagem ecológica. Tese (Doutorado. Programa de Pós-Graduação em Psicologia, Universidade Federal do Rio Grande do Norte), Natal, 2019.
CARNEIRO, Sônia M. M. Fundamentos epistemo-metodológicos da educação ambiental. Educar, Curitiba, n. 27, p. 17-35, 2006. Editora UFPR.
CHAUÍ, M. Convite à filosofia. Ática, São Paulo, 2000.
DEL RIO, V. Desenho urbano e revitalização na área portuária do Rio de Janeiro. Tese de Doutorado; FAU/USP, 1991.
EMPRESA BRASILEIRA DE PESQUISA AGROPECUÁRIA (EMBRAPA). Marco referencial em agroecologia / Empresa Brasileira de Pesquisa Agropecuária – Brasília, DF: Embrapa Informação Tecnológica, 2006. Disponível em: <https://ainfo.cnptia.embrapa.br/digital/bitstream/item/66727/1/Marco-referencial.pdf>. Acesso em: 21 maio 2019.
FERNANDES, R. S., SOUZA, V. J., PELISSARI, V. B., FFERNANDES, S.T. Uso da percepção ambiental como instrumento de gestão em aplicações ligadas às áreas educacional, social e ambiental. Rede Brasileira de Centros de Educação Ambiental. Rede Ceas. Notícias, 2009. Disponível em: <http://www.anppas.org.br/encontro_anual/encontro2/GT/GT10/roosevelt_fernandes.pdf>. Acesso em: 21 maio 2019.
FERREIRA, C. P. Percepção Ambiental na Estação Ecológica de Jureia-Itatins. Dissertação (Mestrado em Ciência Ambiental) – Programa de Pós-Graduação em Ciência Ambiental, Universidade de São Paulo, p. 114, São Paulo/SP, 2005.
GIL, A. C. Como elaborar projetos de pesquisa. 4. ed. São Paulo: Atlas, 2002.
GLIESSMAN, S. R. Agroecologia: pesquisando a base ecológica para uma agricultura sustentável. Estudos Ecológicos (Ed.). v.78, p. 3-10, 1990.
GONÇALVES, Kleber S. Percepção ambiental dos consumidores de produtos orgânicos das feiras do Parque Água Branca, 2017. 93 f. Dissertação. Universidade Nove de Julho, Uninove, São Paulo, 2017.
GUIMARÃES, S. T. L. Nas trilhas da qualidade: algumas ideias, visões e conceitos sobre qualidade ambiental e de vida. Geosul, Florianópolis, v.20, n.40, p 7-26, jul.-dez. 2005.
KRZYSCZAK, F. R. As diferentes concepções de meio ambiente e suas visões. Revista de Educação do Ideau, v.11, n.23, ISSN: 1809-6220, jan.-jun. 2016.
LAYRARGUES, Philippe Pomier. A crise ambiental e suas implicações na educação. In: QUINTAS, José da Silva (Org.). Pensando e praticando a educação ambiental na gestão do meio ambiente. 2. ed. Brasília: Ibama, 2002, v.1, p. 159-196.
LOPES, Maurício A.; CONTINI, Elísio. Agricultura, Sustentabilidade e tecnologia. Agroanalysis, v. 32, p.28-34, fev. 2012. Disponível em: https://www.embrapa.br/busca-de-publicacoes/-/publicacao/1028545/agricultura-sustentabilidade-e-tecnologia. Acesso em: 16 fev. 2020.
MARCONI, M. et al. Os alimentos orgânicos e a percepção de seus atributos por parte dos consumidores. In: VII Semead (VII Seminários em administração do FEA-USP). Anais... São Paulo, agosto de 2004.
MARIN, A. A. Pesquisa em educação ambiental e percepção ambiental. Pesquisa em Educação Ambiental, v.3, n.1, p. 203-222, jan.-jun. 2008. Disponível em: http://www.periodicos.rc.biblioteca.unesp.br/index.php/pesquisa/article/download/6163/4519. Acesso em: 21 maio 2019.
MELAZO, G. C. Percepção ambiental e educação ambiental: uma reflexão sobre as relações interpessoais e ambientais no espaço urbano. Uberlândia, Ano VI, n.6, p. 45-51, 2005.
MOREIRA, R. M.; CARMO, M. S. Agroecologia na construção do desenvolvimento rural sustentável. Agricultura em São Paulo, São Paulo, v. 51, n.2, p. 37-56, jul.-dez. 2004.
MOREIRA, R. S; BENTO, R. C. G; ALVES, C. L; RODRIGUES, A. S; PINHEIRO, V. F. Percepção ambiental de produtores rurais da Fazenda São Silvestre – Sítio Malhada – Crato/CE, IV Semana Universitária da Urca – XXII Semana de Iniciação Científica da URCA e VII Semana de Extensão, Outubro de 2019.
NODARI, R. O.; GUERRA, M. P. A agroecologia: estratégias de pesquisa e valores. Estudos Avançados, São Paulo, v.29, n.83, p.183-207, 2015.
ORMOND, J.G.P. et al. Agricultura orgânica: Quando o passado é futuro. BNDES Setorial, Rio de Janeiro, n.15, p. 3-34, mar. 2002.
PALMA, I. R. Análise da percepção ambiental como instrumento ao planejamento da educação ambiental. Dissertação de Mestrado. Porto Alegre, 2005.
PIRES, M. J. S; RAMOS, P. O termo modernização conservadora: sua Origem e Utilização no Brasil. Revista Econômica do Nordeste, v.40, n.3, p. 418-424, jul.-set., 2009.
RAUD-MATTEDI, C. Análise crítica da sociologia econômica de Mark Granovetter: os limites de uma leitura do mercado em termos de redes e imbricação. Revista Política & Sociedade, n.6, p. 59-82, 2005.
RICARDIO, L. A modernização conservadora da agricultura brasileira, agricultura familiar, agroecologia e pluriatividade: diferentes óticas de entendimento e de construção do espaço rural brasileiro. En Cuad. Desarro. Rural. 8, 2011. (67): 231-249.
RODRIGUEZ, J. M. M.; SILVA, E. V da. Planejamento e gestão ambiental: subsídios da geoecologia das paisagens e da teoria geosistêmica. Fortaleza: Edições UFC, 2013.
SAMBUICHI et al. A política nacional de agroecologia e produção orgânica no Brasil: uma trajetória de luta pelo desenvolvimento rural sustentável. Brasília: Ipea, 2017.
SAMBUICHI et al. A sustentabilidade ambiental da agropecuária brasileira: impactos, políticas públicas e desafios. Brasília: Ipea, 2012, 47 p. (Texto para Discussão, n.1782). Disponível em: <http://repositorio.ipea.gov.br/bitstream/11058/ 1050/1/TD_1782.pdf>. Acesso em: 16 maio 2016.
SHIMADA, W. K. et al. A percepção do consumidor de produtos orgânicos no município de Dourados – MS. Revista de Agronegócio – Reagro, Jales, v.6, n.1, p. 51-63, jan.-jun. 2017.
SILVA, G. P. A construção social dos circuitos curtos de comercialização e consumo de alimentos: a emergência de novas institucionalidades. Tese (Doutorado em Extensão Rural). Programa de Pós-graduação em Extensão Rural. Universidade Federal de Santa Maria. Santa Maria, 2016.
SILVA, G. da. A nova dinâmica da agricultura brasileira. Campinas: Unicamp/Instituto de Economia, 1998.
TASSARA, E. T. de O; RABINOVICH, E. P. Perspectivas da psicologia ambiental. In: Estudos de Psicologia, v.8, n.2. Natal: 339-340, 2003. Disponível em: <http://www.scielo.br/pdf/epsic/v8n2/19052.pdf>. Acesso em: 21 maio 2019.
TRAJBER, R; SORRENTINO, M. Políticas de educação ambiental do órgão gestor. In: Vamos cuidar do Brasil: conceitos e práticas em educação ambiental na escola. [Coordenação: Soraia Silva de Mello, Rachel Trajber]. Brasília: Ministério da Educação, Coordenação-Geral de Educação Ambiental: Ministério do Meio Ambiente, Departamento de Educação Ambiental: Unesco, 2007.
TREVIZAN, S. D. P.; CASEMIRO, A. D. Consumidores de produtos orgânicos em Vitória da Conquista, Bahia. In: International Workshop Advances in Cleaner Production. São Paulo, 2009. Anais eletrônicos... Disponível em: http://www.advancesincleanerproduction.net/second/files/sessoes/4b/2/s.%20d.%20p.%20trevisan%20-%20resumo%20exp.pdf. Acesso em: jun. 2020
TUAN, Yi-Fu. Topofilia: um estudo da percepção, atitudes e valores do meio ambiente. São Paulo: Difel, 1980.
VASCO, A. P; ZAKRZEVSKI, S. B. B. O estado da arte das pesquisas sobre percepção ambiental no Brasil. Perspectiva, Erechim, v.34, n.125, p. 17-28, mar. 2010. Disponível em: <http://www.uricer.edu.br/site/pdfs/perspectiva/125_71.pdf>. Acesso em: 21 maio 2019.
VEIGA, J. E. da. Agricultura familiar e sustentabilidade. Cadernos de Ciência & Tecnologia, Brasília, v 13, n.3, p. 383-404, 1996.
VITAL, J. V.; BERTOLINO, A. R.; FONSECA, I. G. da. Metodologia da amostragem para o cálculo de capacidade dos setores ATC. In: Simpósio de Pesquisa Operacional da Marinha, 2009, Rio de Janeiro. Anais eletrônicos... Rio de Janeiro, 2009. Disponível em: <https://www.marinha.mil.br/spolm/sites/www.marinha.mil.br.spolm/files/072.pdf>. Acesso em: 12 nov. 2019.
ZANELLA, T. P. A percepção ambiental dos consumidores de hortaliças orgânicas da Feira Municipal de Palotina – PR. Dissertação (Programa de Pós-Graduação em Administração Mestrado Profissional). Universidade Estadual do Oeste do Paraná. Cascavel (PR), 2017.
Valéria Feitosa Pinheiro Doutoranda em Economia pelo Dinter Universidade Federal Fluminense (UFF)/Universidade Regional do Cariri (URCA). Professora Adjunta do Departamento de Economia da Universidade Regional do Cariri (URCA), Crato, Ceará, Brasil. E-mail: valeriafp@terra.com.br ID Lattes: http://lattes.cnpq.br/9615282101264911 ORCID: https://orcid.org/0000-0002-1539-2751 Guilherme Silva Nascimento Graduado em Ciências Econômicas pela Universidade Regional do Cariri (URCA), Crato, Ceará, Brasil. E-mail: guilhermesn424@gmail.com ID Lattes: http://lattes.cnpq.br/4346282013960060 ORCID: https://orcid.org/0000-0002-3282-4501 Christiane Luci Bezerra Alves Possui graduação em Ciências Econômicas pela Universidade Federal do Ceará (UFC), especialização em Teoria Econômica também pela UFC e Mestrado em Economia pela Universidade Federal da Paraíba (UFPB). Concluiu Doutorado em Desenvolvimento e Meio Ambiente - DDMA pela Universidade Federal do Ceara (UFC). É Professora Associada do Departamento de Economia da Universidade Regional do Cariri (URCA), Crato, Ceará, Brasil. E-mail: chrisluci@gmail.com ID Lattes: http://lattes.cnpq.br/0577187064179211 Anderson da Silva Rodrigues Doutor em Desenvolvimento e Meio Ambiente pelo Programa de Pós-Graduação em Desenvolvimento e Meio Ambiente da Universidade Federal do Ceará (PRODEMA/UFC). Professor Associado do Departamento de Economia da Universidade Regional do Cariri (URCA). Contato: anderson_rodrigues750@hotmail.com ID Lattes: http://lattes.cnpq.br/5378140888972662 ORCID: https://orcid.org/0000-0002-2559-0305 Maria Larissa Bezerra Batista Mestranda em Economia pelo Programa de Pós-Graduação em Economia da Universidade Federal do Rio Grande do Norte (PPECO/UFRN). Graduada em Ciências Econômicas pela Universidade Regional do Cariri (URCA). E-mail: maria.larissa25@gmail.com ID Lattes: http://lattes.cnpq.br/2920068640038677 ORCID: https://orcid.org/0000-0002-6273-059X |
Revista IDeAS, Rio de Janeiro, volume 14, 1-28, e020003, jan./dez. 2020 • ISSN 1984-9834
[1]Professora Adjunta do Departamento de Economia da Universidade Regional do Cariri (URCA).
[2]Graduado em Economia pela Universidade Regional do Cariri (URCA).
[3]Professora Associada do Departamento de Economia da Universidade Regional do Cariri (URCA), Crato, Ceará, Brasil. Contato: chrisluci@gmail.com.
[4]Professor Associado do Departamento de Economia da Universidade Regional do Cariri (URCA).
[5]Mestranda em Economia pelo Programa de Pós-Graduação em Economia da Universidade Federal do Rio Grande do Norte (PPECO/UFRN).
[6]Acerca da origem do termo “modernização conservadora” e sua utilização pela literatura brasileira, ver Pires e Ramos (2009).
[7] A educação, nessa interpretação, é emancipatória e diz respeito a um processo que “reconstrua relações entre pessoas, sociedade e meio natural, sob uma ética de responsabilidade voltada à sustentabilidade socioambiental” (CARNEIRO, 2006, p. 27). Essa perspectiva estabelece as diferenças de responsabilidades dos sujeitos sociais sobre a crise ambiental, como destaca Layrargues (2002, p. 193), os quais não se igualizam como deflagradores e vítimas da crise ambiental (como pressupõe a educação ambiental na perspectiva convencional), mas são identificados, na educação ambiental crítica, com “níveis diferenciados tanto de responsabilidade como de exposição aos riscos ambientais, de modo inversamente proporcional”.